mathematische Selbstironie
Ein Problem des normalen Mathematikunterrichts
(im Grunde schon seit Euklids staubtrockenen "Elementen")
ist, dass er oftmals so "verdammt" humorlos ist und damit Anfänger und Außenstehende von Anfang an einschüchtert. Da kann man von João (seinem Buch
) das "gewisse Etwas", nämlich die (Selbst!)Ironie über Anfänger wie Experten, dazulernen.
(Nebenbei:
ich höre die Vertreter der reinen Lehre schon wild gestikulierend und sich die Haare raufend "Häresie!" schreien, wenn in der mathematischen Kathedrale auch nur mal geschmunzelt wird;
da es hier allein um den "Ton" geht, muss man weder die im folgenden Text vorkommenden mathematischen Formeln noch die physikalischen Zusammenhänge verstehen, ja, sie müssen nicht mal richtig sein.)
EIN BISSCHEN ALGEBRA
[...]
"Ja, mein würdiger Freund! Unter Berücksichtigung aller Elemente des Problems, des Abstandes zwischen dem Erdmittelpunkt und dem Mondmittelpunkt, des Erdradius, der Masse der Erde, des Mondes, kann ich genau feststellen, welches die Anfangsgeschwindigkeit des Geschosses hat sein müssen, und zwar durch eine einfache Formel."
"Ich bitte um diese Formel!"
"Nur werde ich dir nicht die Formel für die tatsächlich von der Kugel zwischen Mond und Erde beschriebenen Kurve angeben, wobei ich die Translationsbewegungen um die Sonne berücksichtigen müßte. Ich werde sie vielmehr als unbewegliche Körper ansehen, was für unsere Zweck völlig ausreicht."
"Und wieso?"
"Weil wir sonst jenes Problem lösen müßten, das man >das Problem der drei Körper< nennt und zu dessen Lösung die Integralrechnung noch nicht weit genug vorgeschritten ist."
"Sieh da!" rief Michel Ardan spöttisch, "als hat die mathematische Wissenschaft ihr letzt Wort noch nicht gesprochen?"
"Ganz gewiß nicht", antwortete Barbicane.
"Schön! vielleicht sind die Mondmenschen mit der Integralrechnung weiter als ihr! Aber was bedeutet eigentlich der Ausdruck Integralrechnung?"
"Eine Rechnung, die das Umgekehrte der Differentialrechnung ist", antwortete mit gemessenem Ernst Barbicane.
"Außerordentlich verbunden!"
"Mit andern Worten: eine Rechnung, durch die man die bestimmten Größen sucht, deren Differential einem bekannt ist."
"So! nun wird die Geschichte wenigstens klar", antwortete Michel mit einer Miene, wie man sie sich zufriedener nicht denken konnte.
"Und nun", nahm Barbicane wieder das Wort, "ein Stück Papier und einen Bleistift, und ehe noch eine halbe Stunde herum ist, will ich die verlangte Formel gefunden haben."
Nach diesen Worten vertiefte sich Barbicane in seine Arbeit, während Nicholl den Weltraum beobachtete und seinem dritten Kameraden die Sorge für das Frühstück überließ.
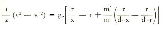
Noch war keine halbe Stunde verflossen, als Barbicane den Kopf hob und Michel Ardan eine mit algebraischen Zeichen bedeckte Seite zeigte, in deren Mitte sich die folgende allgemeine Formel heraushob:
"Und das bedeutet?" fragte Michel.
"Das heißt folgendes", erwiderte Nicholl, "daß v hoch zwei halbe minus vo hoch zwei halbe gleich gr multipliziert mit r durch x minus 1 plus m Strich durch m mal r durch d minus x minus r durch d minus r ."
"X durch Y hoppedipopp hoch Z und hoppedipopopp durch P!" rief Michel Ardan mit hellem Gelächter, "und das kapierst du, Kapitän?"
"Es gibt doch nichts, was klarer wäre!"
"Na, selbstredend!" sagte Michel, "das sprint doch in die Augen, und nach mehr davon begehre ich nicht!"
"Ewiger Spötter!" versetzte Barbicane. "Du hast Algebra gewollt und sollst Algebra habe bis über die Ohren!"
"Da laß ich mich schon lieber hängen!"
"Wahrhaftig", rief Nicholl, der die Formel als Kenner eifrig studierte, "die Aufgabe scheint mir brillant gelöst, Barbicane. Es ist das Integral der Gleichung der lebendigen Kräfte und ich zweifle nicht, daß es uns das gesuchte Resultat liefert!"
"Aber verstehen möchte ich sie schon!" rief Michel. "Zehn Jahre von Nicholls Leben gäbe ich dafür, wenn ich sie verstände!"
"Dann höre zuß, versetzte Barbicane. "Einhalb mal v hoch zwei minus vo hoch zwei heißt die Formel, die uns das Halbe der Veränderung der wirklichen Energie gibt."
"Schön! und Nicholl weiß, was das bedeutet?"
"Ohne Zweifel, Michel", antwortete der Kapit"n. "All diese Zeichen, die dir kabbalistisch erscheinen, bilden jedoch die klarste, deutlichste Sprache für den, der sie lesen kann, - eine Sprache, wie sie sich logischer nicht denken läßt."
"Und du behauptest also, Nicholl", fragte Michel, "daß du mit Hilfe dieser Hieroglyphen, die unverständlicher sind als ägyptische Ibisse, herausfinden könntest, welche Anfangsgeschwindigkeit dem Geschoß gegeben werden mußte?"
"Selbstverständlich", antwortete Nicholl, "und mit derselben Formel werde ich dir sogar immer sagen können, welches seine Geschwindigkeit an irgendeinem Punkt seiner Flugbahn ist."
"Dein Wort darauf?"
"Mein Wort darauf!"
"Du bist also ebenso schlau wie unser Präsident?"
"Nein, Michel! Was an der Sache schwierig ist, hat Barbicane geleistet, nämlich eine Gleichung aufzufinden, die alle Bedingungen des Problems berücksichtigt. Was dann übrig bleibt, ist weiter nichts als eine arithmetische Frage und erfordert bloß die Kenntnis der vier Grundrechnungsarten."
"Das ist schon was!" antwortete Michel Ardan, der zeit seines Lebens keine richtige Addition zustande gebracht hatte und der es für nichts weiter als ein Spiel zum Kopfzerbrechen mit unendlich vielen Lösungen hielt.
Barbicane erwiderte jedoch, daß auch Nicholl bei einigem Nachdenken diese Formel ganz gewiß gefunden hätte.
"Das weiß ich nicht", versetzte Nicholl, "denn je tiefer ich in die Formel eindringe, desto wunderbarer erscheint mir ihr Ansatz."
"Nun höre weiter", sagte Barbicane zu seinem Dummkopf von Kameraden, "und du wirst sehen, daß all diese Buchstaben eine Bedeutung haben.
"Ich bin ganz Ohr", sagte Michel mit resignierter Miene.
"Klein d", hub Barbicane an, übedeutet die Distanz oder Entfernung des Erdmittelpunkt vom Mondmittelpunkt, denn um die beiderseitig Anziehungskraft zu berechnen, muß man jeweils vom Mittelpunkt ausgehen."
"Das verstehe ich wohl."
"r ist der Erdradius."
"r gleich Radius, einverstanden!"
"m ist die Masse der Erde, m' die Masse des Mondes. Da die Anziehungskraft der Masse proportional ist, muß man die Masse der beiden sie anziehenden Körper berücksichtigen."
"Kapiert!"
"g ist die Schwere, die Geschwindigkeit, die ein Körper im freien Fall nach einer Sekunde erreicht hat. Ist das klar?"
"Wie Quellwasser!" antwortete Michel.
"Jetzt bezeichne ich mit x den sich ständig ändernden Abstand des Geschosses vom Erdmittel punkt und mit v die Geschwindigkeit, die es bei diesem Abstand hat."
"Schön!"
"Der Ausdruck vo bedeutet die Geschwindigkeit beim Austritt des Geschosses aus der Atmosphäre."
"An diesem Punkt muß diese Geschwindigkeit tatsächlich berechnet werden, da wir schon wissen, daß die Geschwindigkeit beim Abschuß das anderthalbfache der Geschwindigkeit beim Austritt aus der Atmosphäre ist."
"Ich verstehe gar nichts mehr!" sagte Michel.
"Das ist doch sehr einfach", sagte Barbicane.
"für mich gar nicht so einfach", versetzte Michel.
"Das bedeutet, daß unser Geschoß, wenn es an der Grenze der Erdatmosphäre angekommen ist, schon ein Drittel seiner Anfangsgeschwindigkeit verloren hatte."
"Soviel schon?"
"Ja, mein Freund, und zwar einzig und allein infolge des Reibungswiderstandes der Atmosphäre. Du begreifst doch, daß es um so mehr Widerstand erfuhr, je schneller es flog."
"Das gebe ich ohne weiteres zuß, antwortete Michel, "und ich kapiere es auch, obwohl deine vo und deine vo Quadrat in meinem Kopf wirr durcheinandergehen."
"Erste Wirkung der Algebra", versetzte Barbicane. "Und jetzt wollen wir, um dir die letzte "lung zu geben, die Buchstaben durch Zahlen ersetzen."
"Die letzte "lung? Sehr gut! ich bitte darum!" erwiderte Michel.
"Von diesen Buchstaben", sagte Barbicane, "sind die einen bekannt, die anderen müssen berechnet werden."
"Diese letzteren werde ich übernehmen", sagte Nicholl.
"Zuerst also", nahm Barbicane wieder das Wort, "r ist der Radius der Erde, der unter dem Breitengrad von Florida, unserem Ausgangspunkt 6 367 000 Meter betrug; d, das heißt der Abstand zwischen dem Erdmittelpunkt und dem Mondmittelpunkt, ist gleich 56 Erdradien, also ..."
Nicholl rechnete schnell.
"Also", sagte er, "356 720 000 Meter, in dem Augenblick, wo der Mond im Perigäum, das heiß seiner Erdnähe steht."
"Gut", sagte Barbicane. "Nun zu m Strich durch m, also das Verhältnis der Mondmasse zur Erdmasse, das etwa 1:81 beträgt."
"Sehr gut", sagte Michel.
"g, die Schwere, beträgt in Florida 9,81 Meter; Hieraus ergibt sich, daß gr gleich ist ... "
"62 426 000 Meter zum Quadrat", antwortet Nicholl schlagfertig.
"Und jetzt?" fragte Michel Ardan.
"Nachdem jetzt die Buchstaben in Zahlen ausgedrückt sind", antwortete Barbicane, "will ich die Geschwindigkeit von c null suchen, das heißt die Geschwindigkeit, die das Geschoß haben muß, wenn es die Atmosphäre verläßt, um den Punkt zu erreichen, wo sich die Anziehungskräfte aufheben und die Geschwindigkeit gleich Null ist. An diesem Punkt setze ich für die Geschwindigkeit Null ein und x, der Abstand dieses neutralen Punktes, wird neun Zehntel von d sein, das heißt, vom Abstand der beiden Mittelpunkte."
"Eine unklare Idee, daß dem so sein müsse, dümmert mir auf", sagte Michel.
"Ich erhalte nun: x gleich neun durch zehn von d, und v gleich Null, und meine Formel wird lauten..."
Barbicane schrieb schnell:
Nicholl las gierig.
"So ist's! so ist's!" rief er.
"Ist das klar?" fragte Barbicane.
"Es steht in Feuerschrift geschrieben!" antwortete Nicholl.
"Wie gut ihr doch seid!" murmelte Michel.
"Hast du endlich begriffen?" fragte ihn Barbicane.
"Ob ich begriffen habe!" rief Michel Ardan, "ja! aber auf Kosten meines Schädels, der zu bersten droht!"
"Also", nahm Barbicane wieder das Wort, "vo hoch zwei ist gleich zwei gr multipliziert mit eins minus zehn r durch neun d, minus eins durch einundachtzig multipliziert mit zehn r durch d minus r durch d minus r."
"Und jetzt muß man nur noch rechnen", sagte Nicholl, "um die Geschwindigkeit der Kugel beim Austritt aus der Atmosphäre zu erhalten."
Der Kapitän als ein gegen alle Schwierigkeiten gefeiter Praktikus fing an, mit unglaublicher Geschwindigkeit auszurechnen. Divisionen und Multiplikationen wurden unheimlich lang. Endlose Zahlenreihen füllten sein weißes Blatt. Barbicane folgte ihm mit dem Blick, während Michel Ardan eine herannahende Migrüne mit beiden Händen zu bannen suchte.
"Nun?" fragte Barbicane nach mehreren Minuten Stille.
"Nun, ich habe alles genau berechnet", antwortete Nicholl, "vo, das heißt die Geschwindigkeit des Geschosses beim Austritt aus der Atmosphäre, wenn der neutrale Anziehungspunkt erreicht werden soll, hätte betragen müssen ... "
"Wieviel? ... " fragte Barbicane.
" 11 051 Meter in der ersten Sekunde."
"Jesus!" rief Barbicane und sprang in die Höhe ...
"Sie sagen ... ?"
" 11 051 Meter."
"Was?" schrie der Präsident mit einer Geb"rde der Verzweiflung.
"Was ist dir?" fragte Michel Ardan höchst erstaunt.
"Was mir ist! Wenn in diesem Augenblick die Geschwindigkeit durch die Reibung schon um ein Drittel vermindert wurde, so hätte die Anfangsgeschwindigkeit betragen müssen ... "
"16 576 Meter!" antwortete Nicholl.
"Aber die Sternwarte von Cambridge hat doch erklärt, daß 11 000 Meter beim Abschuß genügend seien, - und unsere Kugel ist doch nur mit dieser Anfangsgeschwindigkeit abgeschossen worden!"
"Nun?" fragte Nicholl.
"Nun! die Anfangsgeschwindigkeit wird nicht ausreichend sein!"
"Schön."
"Wir werden also den neutralen Punkt nicht erreichen!"
"Verdammt!"
"Wir werden werden nicht mal die Hälfte der Bahn vollenden!"
"Elendes Geschoß!" rief Michel Ardan, als wenn es jeden Augenblick mit der Erde zusammenstoßen würde.
"Und wir werden wieder auf die Erde zurück fallen!"
[...]
Diese Enthüllung wirkte wie ein Donnerschlag Wer hätte einen solchen Rechenfehler erwartet? Barbicane wollte nicht daran glauben. Nicholl sah seine Zahlen nochmals durch: sie stimmten aufs Haar. Was die Formeln anbetraf, so konnte man an ihrer Richtigkeit nicht zweifeln, und nach nochmaliger Überprüfung wurde es als erwiesen angesehen, daß eine Anfangsgeschwindigkeit von 16 570 Metern notwendig gewesen wäre, uni den neutralen Punkt zu erreichen.
Die drei Freunde sahen sich schweigend an. Von Frühstücken war keine Rede mehr. Barbicane stand da mit krampfhaft zusammengebissenen Zähnen, zusammengezogenen Brauen und geballten Fäusten und blickte durch die Lukenfenster. Nicholl hatte die Arme übereinandergeschlagen und rechnete sein Exempel nach. Michel Ardan murmelte:
"Feine Wissenschaftler sind mir das! Andere Leute machen sie niemals gescheit mit ihren ganzen Weisheiten. Zwanzig Pistolen würde ich opfern, wenn wir der Cambridger Sternwarte aufs Dach plumpsten und sie samt allen Rechenknechten, die in ihr hausen und Bücke schießen, zu Mus zerquetschten."